PMB STIS jalur PMDK Tahun Ajaran 2016/2017 diadakan pada tanggal 7-12 November 2015
Berikut Pembahasan Soal Pilihan Ganda Nomor 1-5.
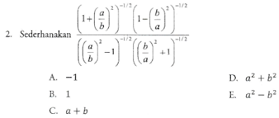
Soal
Pembahasan
Soal
Pembahasan
Soal
Pembahasan
Soal
Pembahasan
Kalau soal kayak gini biasanya aku cobain satu-satu
a. k<1, berarti coba masukin 0 ; 0>0 ; salah,
b. k>1, coba 2; 4>8; salah
c. 0<k<1, coba 1/2; 1/4>1/8 , benar, cek pilihan D
d. k<0 atau 0<k<1, coba -1 ; 1>-1, benar
e. tidak ada, salah
jawaban D
Soal
Pembahasan
Download soal lengkapnya disini
Pembahasan selanjutnya ditunggu ya, kamingsun
NB : ini pengerjaannya aku kerjain sendiri, bukan ngeliat kunci jawaban, jadi maaf dan kemaklumannya kalau ada salah, daaannn... mohon koreksinya :)









Tidak ada komentar:
Posting Komentar